About PvE
What do I get for completing a PvE battle?
Experience for your heroes who participated in the battle as units of the team;
FUR — the main in-game currency which is required for any kind of action in the game (the tokens themselves represent direct earnings, which can be exchanged into real money);
How is the rating and the mob’s strength calculated?
An mob’s strength is calculated as follows: Rating x Mob’s Strength (50 units). Initial player rating: 60. The strength of the first mob’s warband is 3,000. After the first victory the strength of the next opponent is 3500. (60->70. 70*50=3500).
One battle requires 5 units of energy.
Each victory will give +10 points (defeat -10) and increase the strength of the enemy by ~500 points.
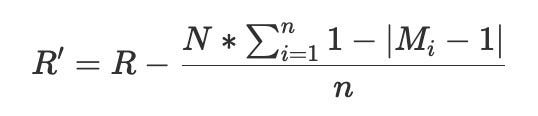
When a player wins, the rating changes as follows:

When a player is defeated, the rating changes as follows:

where: R′ — rating value after the battle; R — rating value when entering a battle; N — number of points per battle; n — number of cards in a team; Mi — multiplier value of the i-th card in the team (0.5, 1.0 or 1.1). The design and name of locations will remain a visual component and will no longer be correlated with the strength of mobs.
Please note: the rating will be fractional, but in the application it will be displayed as an integer. For example, in the application, several players in a row will have a rating of 100 units, but they will be ranked on the server taking into account the fractional part.
What will be the reward system?
To receive the reward, you will need to win at least 5 victories per day! The reward is calculated based on the position in the rating table. Accrual occurs on the day following the reporting day (played today — during the next day received a reward).
The pool of rewards will be divided into 2 types: 99% will be divided between players with a rating of 200 or more and 1% between those whose rating is below 200.
How is the reward calculated?
The reward for the day is divided into 24 parts and is issued every hour!
How is experience (XP) earned?
Experience is awarded to cards that participated in the battle according to the following formula:
On victory:
Exp = S_mob/Y,
where:
Exp — the amount of experience awarded to each hero for winning the current PvE;
S_mob — the strength of the mob in the current PvE (for which we calculate the reward-experience);
Y — coefficient, taken equal to 1100;
Exp is capped at 90 Exp.
When receiving a fractional value, Exp will be rounded down to an integer.
On defeat: 2XP is awarded to all cards.
What will help you rank higher in the rankings?
Equipment Equipment makes it a lot easier and faster to get on the rating. It’s better for those running teams with high level heroes: being able to level up at high levels is expensive, but the boost is not as big as it would be if you were running teams with high level heroes.
House of Voivode One of the bonuses of HV is aimed at increasing the stats of heroes in PvE (up to +75%!) and will become an indispensable assistant in the fight for the raiting!
Stronger teams The stronger the squad, the easier it is to move up the leaderboard and get more rewards.
What is “Exhaustion”?
For Combat cards participating in PvE, a new concept of “Exhaustion” has been introduced.
After scoring at least 1 victory, all cards in the squad get a Exhaustion mark. When transferring any of them (or all) to another account — the card will be active for all actions (sale, feed, feed to others, burning on the altar, upgrading), BUT when conducting the next PvE battle with a team where there is a “exhausted” card:
— Rating is not calculated; — No experience gained; — Battles do not count towards the reward.
This rule does not apply to the “native” account. If the cards are not transferred — you can play with a profit all day. Moreover — if you return the “exhausted” card to your native account — it is also possible to continue playing without any restrictions.
Last updated
Was this helpful?